Automatic Summary Reports
Automated
summary reports are
reports, typically in PDF format, that are optionally generated without user
interaction whenever new storm data is received by the Hurrtrak System.
They can be printed/previewed or automatically sent via Email.
There are 3 types of Automated
Summary Reports.
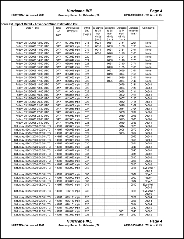
Regular/Standard
Summary Report:
The
regular/standard report is designed
to provide extensive data about a single
location. It optionally includes a user
defined graphic, narrative impact statement, user diary contents, latest storm
position information, watches / warnings, official forecast information, wind probabilities
(when available) forecast impact summary, forecast impact detail, and NHC advisory
text.
Executive
Summary Report:
The
executive summary report is designed
to provide information about a set of locations,
typically defined by a location group. It
is targeted more to the decision maker who may not want to see all of the detailed
data and just the bottom line. It
can be created in different formats with options to include/exclude location hourly
details, narrative impact statement and summary tabular data.
Risk
Impact Summary Report:
The
Risk / Impact report is designed for
users that want to see both the risk factors and the impact to a set
of locations. It contains a wind impact
chart, risk alert conditions and details about the impact to each location.
It mirrors the output on the Risk/Impact Tab.
More information on how to setup Automatic Summary Reports
Examples
of each Report are shown below.



Without Narrative Impact Text


The following is an example with Narrative Impact Text selected.


Risk/Impact
Summary Report

